定义
输出仅仅与该时刻的输入有关
和该时刻以前的输入无关
无记忆的电路, 在电路中没有反馈回路
分析
- 由给定逻辑电路图写出输出端逻辑表达式
- 列出真值表从中概括出逻辑功能
- 改进设计寻找最佳方案
设计
- 将文字描述的逻辑转为真值表
- 画卡诺图写函数(根据选择什么门)
- 画出逻辑电路
中规模组合逻辑部件
中规模组合逻辑部件VS基本逻辑门器件
集成度不同
- 最基本的逻辑门器件
- 轮子
门器件的缺点
- 门器件多
- 焊点多
- 连线多
MSI、LSI的优点
- 集成度高、体积小
- 功耗低、速度快
- 可靠性高
- 抗干扰能力强
常见器件
半加器、全加器
半加器
- 不考虑低位进位
全加器
考虑低位进位
应用
- 实现十进制加法
- 实现二进制加减法
- 实现二进制乘法
- 实现码制转换
- 实现异或运算
编码器、译码器
编码
- 将特定的信息用二进制代码表示
译码
将二进制代码转为特定的信息
应用
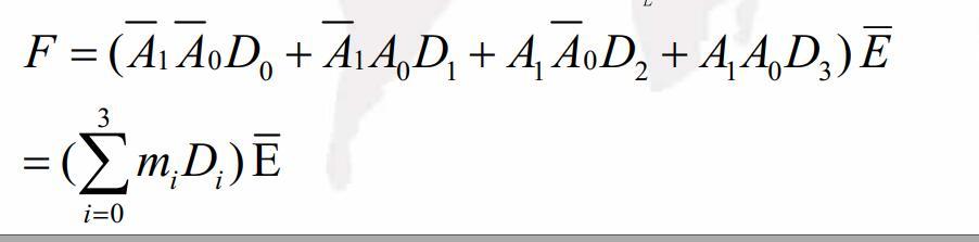
实现函数
将输出函数转为最小项的标准式

数据选择器
- 输出表达式
应用
实现组合逻辑函数
栗子

数据比较器
图
两位输入
三位输出
竞争与冒险
竞争现象
- 一个变量可以通过不同的路径到达输出门的输入端
冒险现象
分类
偏1冒险
- 负脉冲
偏0冒险
- 正脉冲
判断
代数法
- 对竞争变量以外的赋值,只剩下竞争变量,与则是偏0,或则是偏1